- 작용 기전
이부프로펜은 NSAID로서 아라키돈산 경로를 통한 프로스타글란딘(통증 및 발열 매개체) 및 트롬복산(혈액 응고 촉진제) 합성에 관여하는 효소인 사이클로옥시게나제(COX)의 비선택적 억제제이다. COX는 체내에서 아라키돈산을 프로스타글란딘 H2(PGH2)로 변환하는데, 여기서 PGH2는 프로스타글란딘으로 전환된다. 따라서 이부프로펜에 의한 COX의 억제는 신체에 의해 만들어진 프로스타글란딘의 수치를 낮춘다.
이부프로펜의 작용은 COX-1 및 COX-2에 의한 프로스타노이드 합성 억제에 의한 통증, 발열 및 급성 염증의 조절과 관련이 있다. 척수와 척수시상로에 의해 매개되는 통증 전달에서 말초 환부 및 중추 신경계 효과에 기인하여 통증이 완화된다. 통증에 대한 효과는 대뇌피질 유발 전위와 관련이 있는 것으로 나타났으며 해열 작용은 프로스타노이드가 시상하부 전 영역에서 발열의 주요 신호 매개체이기 때문에 프로스타노이드 합성과 관련이 있는 것으로 나타났다.
또 치과 치료에서 이부프로펜을 사용하기도 하는데, 이것은 프로스타노이드 생산의 국소 억제와 항부종 활성 및 혈장 베타 엔돌핀 증가 때문이다.
이부프로펜은 간에서 빠르게 대사되어 하이드록실화 및 카복실화 유도체인 주요 대사 산물을 형성한다. 흡수하자마자 R-광학 이성질체는 알파-메틸 아실 -CoA 라세마제의 활성에 의해 생체 내에서 약리학적으로 더 활성화된 S-광학 이성질체로 전환한다.
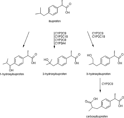
이부프로펜의 대사는 2 또는 3-하이드록시 유도체의 형성을 위한 Isobutyl chains의 하이드록실화에 이어, 2-carboxy-ibuprofen and p-carboxy-2-propionate의 산화가 1단계이다. 이러한 산화 반응은 cytochrome P450 동형 CYP 2C9, CYP 2C19 및 CYP 2C8의 활성에 의해 일어난다. 따라서 이러한 효소는 alkyl side chain를 하이드록실 및 카르복실 유도체로 산화시키는 데 참여한다. 이 효소에서 산화 대사를 형성하는 주요 촉매는 동형 CYP 2C9이다. 2단계에서는 phenolic and acyl glucuronides를 형성한다.

그림 4. 이부프로펜의 대사과정 (Neunzig et al., 2012)
이부프로펜은 빠르게 대사되어 투여량의 90% 이상이 소변으로 나온다. 마지막 투여 후 24시간 이내에 완전히 소실되며 대사 산물 또는 그 접합체로 배설되기 때문에 투여된 투여량의 약 99%를 대사를 거쳐 분해된다.
DrugBank. (n.d.). Ibuprofen: Uses, Interactions, Mechanism of Action. DrugBank. Retrieved December 16, 2021, from https://go.drugbank.com/drugs/DB01050
Robertson, S. (2021, May 4). Ibuprofen Mechanism. News Medical. Retrieved December 16, 2021, from https://www.news-medical.net/health/Ibuprofen-Mechanism.aspx
'독성학 > 약리 기전 정리' 카테고리의 다른 글
| [쉽게 읽는 약리 기전 백과 사전] 2. 아세트 아미노펜 (0) | 2022.08.31 |
|---|---|
| [쉽게 읽는 약리 기전 백과 사전] 1. 트럼프가 사용한 코로나 약의 기전 심화 탐구: 단일클론항체 치료제 (REGN-COV2), 렘데시비르, 덱사메타손, 아스피린, 아연, 비타민D, 파모티딘, 멜라토닌 (0) | 2022.08.31 |
| [쉽게 읽는 약리 기전 백과 사전] 0. 소개 (0) | 2022.08.31 |